近年来,国家大力推行“碳达峰”“碳中和”,旨在推动社会主义生态文明建设提升并对全球气候改善做出相应贡献。在城市水环境和水生态的建设方面,积极响应国家“降碳”方针,对现有污水再生处理厂进一步提标改造,再生水作为生态补水回灌北方城市季节性河道水系,减轻再生水对河道生态系统的风险。排水系统具有广阔的减碳空间,污水再生处理厂作为排水系统降碳关键突破点,减碳技术包括:
(1)降低CH4、N2O等温室气体的直接碳排放类技术;
(2)通过降低电耗、热耗、药耗等间接碳排放类技术;
(3)尾水、污泥等资源化利用的碳替代类技术等。
本文以Q市某污水再生处理厂提标改造过程中,降低电耗、药耗等为例,开展设计与运行相关降碳技术路径的研究。在不增加占地、工艺单元、电耗的情况下,通过强化调节池的水解酸化功能作为脱氮除磷生化系统预处理工艺,原位开发内碳源,SCODCr平均有效提高63.5%,节省外碳源投加量42.5%~55.4%;通过复合铁酶促活性污泥技术耦合AAO+MBR工艺运行,强化系统脱氮除磷效果,节省铁盐(FeCl3)平均投加量约为60%以上;较大幅度节省外加碳源、铁盐等药耗,污水再生处理系统出水除TN外其他指标稳定达到《地表水环境质量标准》(GB 3838—2002)Ⅳ类标准,有效实现降碳的目的;同时工程改造优化粗细格栅缝隙设置提高SS拦截效率,控制源头动植物油脂排放以及运行过程中铁盐过量投加,有效降低超滤膜污堵,使系统长期稳定运行。
1 改造前概况
Q市某污水再生处理厂设计规模为6 000 m3/d,采用AAO+MBR处理工艺,出水水质需满足《城镇污水处理厂污染物排放标准》(GB 18918—2002)一级A标准,生产的再生水回用于园区的绿化灌溉和南侧河道上游的生态补水。为充分发挥项目效益,水量充足满负荷运行,在原服务范围之外市政污水主干管上截流污水,再通过一体化泵站转输至厂区进水井一并处理,但是此后该厂运行开始出现膜堵塞、脱氮除磷效果变差等问题,处于存在出水不达标的非正常运行状态。
1.1 改造前设计进出水水质
本工程设计进出水水质如表1所示,实际运行过程中各项指标均能达到设计标准。

1.2 污水处理工艺及流程
污水采用“粗格栅+细格栅+旋流沉砂池+提升泵房+调节池+超细格栅+AAO生化池+MBR池+清水池”处理工艺;污泥采用“储泥池和离心浓缩脱水机”处理工艺;臭气采用“全过程除臭+生物除臭滤池+高能等离子除臭”处理工艺。污水处理工艺处理流程如图1所示。

1.3 主要构筑物设计
主要构筑物采用窑洞式半地下组合布置,沿北侧大道顶部覆土建设成景观带,建成环境优美的景观节点,沿南侧河道面设置进出通道,中间层为操作层,下部为水池。厂区占地面积为5 770 m2,分为预处理区、主体处理区、附属区。预处理单元包括粗格栅、细格栅、旋流沉砂池、进水提升泵房。主体处理单元包括调节池、精细格栅、AAO生化池、MBR膜池及膜池配套设备、清水池、储泥池及脱水机房、鼓风机房、加药间。其中调节池有效调节容积为2 000 m3,停留时间为8.0 h;AAO反应池有效容积为3 375 m3,有效水深为6.0 m,总水力停留时间(HRT)为13.7 h,容积负荷为0.64 kg BOD5/(m3·d),设计混合液MLSS为8 g/L,泥龄为19.3 d;MBR池-好氧区回流比为300%~500%,好氧区-缺氧区回流比为200%~400%,缺氧区-厌氧区回流比为100%~200%;膜池共2格,MBR采用膜孔径为0.2 μm的中空纤维膜,平均通量为15.12 L/(h·m2);采用FeCl3作为化学除磷药剂,设计最大投加量为40 mg/L;采用乙酸钠作为反硝化脱氮碳源,设计最大投加量为60 mg/L。
1.4 原设计经济指标
项目总投资为7 018万元,其中建安费为5 753万元。单位污水处理经营成本为3.8元/m3,其中电费为0.78元/m3 (电耗为1.26 kW·h/m3)、药剂费用为0.48元/m3。
1.5 原设计特点
(1)针对汇水区域白天排水量大、晚上量小的特点,前段设调节池1座,调节进水水量波动、均衡水质,应对冲击影响。
(2)采用AAO+MBR为主体工艺,具有占地省、出水水质好等特点,并将处理设施集成组合布置,节约占地和工程投资。
(3)厂区受占地限制和周边景观要求,污水再生净化厂整体设计成窑洞半地下式,顶部与北侧覆土建设成山头绿化景观公园,与周边环境相协调,厂区南侧布置厂区进出通道,满足正常运维管理。
(4)生产的再生水就近回用于园区内冲厕、绿化灌溉、浇洒以及河道补水,实现污水就地收集处理、循环再利用。
2 提标改造设计
2.1 改造目标与要求
根据当地生态环境保护部门的最新要求,排往附近海湾流域河道的污水处理厂的排放标准提升为主要指标达到《地表水环境质量标准》(GB 3838—2002)Ⅳ类标准(TN除外),设计进出水水质指标如表2所示。

2.2 存在的问题与难点分析
2.2.1 现状存在问题
(1)该项目服务的汇水区域内有2座近万人的高校,学校食堂的餐厨污水中动植物油含量高,而且食堂污水出口的隔油池缺失或年久失修,大量动植物油进入污水再生净化系统,部分油脂黏附在超滤膜表面,形成膜污染堵塞膜表面,降低膜通量。
(2)厂外新增设一体化泵站,为了运行维护管理简便采用粉碎式格栅,该类格栅极易导致栅渣细碎化,现有粗细格栅(栅缝分别为15、5 mm)拦截栅渣效率低下,造成后续精细格栅堵塞或溢流,以及栅渣穿透进入生化池及MBR工艺池的情况严重,超滤膜表面黏附大量的栅渣和淤泥,导致超滤膜堵塞、处理能力降低至3 000 m3/d以下,直接影响正常生产运行。
2.2.2 提标难点
(1)现有系统缺氧段的HRT为4 h,比正常的AAO+MBR工艺缺氧段(4.5~6 h)短,脱氮时间明显不足。另外,同类项目提标一般需增设深度处理单元,由于本项目设计占地紧张,厂内无多余用地,也无法从周边新增征地,原窑洞半地下式箱体无法做大规模改造增设工艺单体。因此,提标改造无法增加新的处理工艺单体,同时受周边环境的影响,只能对现有设施改造挖潜。
(2)为防止发生MBR池污泥沉淀和减缓膜堵塞等问题,在MBR池设置鼓风吹扫设施,以致污泥回流的DO质量浓度在8.0 mg/L以上,AAO生化池缺氧段的实际DO质量浓度偏高(0.5~1.7 mg/L),生物除磷效果较差,难以达到设计要求。因此,向生化池投加过量的铁盐进行化学除磷,最大投加量达40 mg/L,以致生化系统活性污泥以及黏附在膜表面呈黄褐色的栅渣含大量积存的Fe3+,过量Fe3+容易对超滤膜造成污堵,降低膜通量。
2.3 解决思路与改造、运行措施
2.3.1 现状问题解决措施
(1)协调汇水区域内两所高校,在其餐厅污水出口增设或改造隔油池,并要求定期清掏,防止餐厨动植物油脂大量进入污水再生净化系统,以减轻油脂对超滤膜的污染。
(2)对预处理段进行工艺改造。鉴于厂外转输一体化化泵站无人值守运维要求,不适宜改造,对厂内格栅系统进行改造,拆除现有2套栅缝为15 mm的粗格栅,将现有2套栅缝为5 mm的细格栅移至粗格栅处,细格栅处新增2套栅缝为2 mm的阶梯式格栅,以期达到有效去除细碎栅渣的目的,缓解细栅渣对超滤膜污染及堵塞。
2.3.2 提标改造措施
(1)园区展会期间原调节池的功能为水量调节和水质均化,现在通过一体化泵站从周边市政管网转输市政污水,其水量波动相对稳定。因此,调节池的水量调节功能弱化,充分利用近8.0 h的停留时间,在原设置的水下搅拌器的作用下充分混合,赋予调节池水解酸化功能,并作为主要功能。原位生物吸附和水解酸化作为生化处理的预处理,将固态颗粒状、大分子、难降解、难被微生物吸收以及处理溶解较慢但可生物降解的有机物,分解成小分子容易吸收降解的有机物,能够有效促进反硝化的进行。可以减少外碳源投加,而且可以改善AAO+MBR生化系统因污泥回流DO高而造成厌氧段DO偏高、厌氧环境差的状态,提高生物除磷的效果。同时,设置20%剩余污泥回流入调节池备用设施,以备试运行和水解酸化系统亏泥等不正常状态下使用。
(2)原设计AAO+MBR工艺需投加铁盐絮凝化学除磷,但过量投加时,絮凝剂包裹架桥作用粒子表面吸附活性点,吸附架桥作用变弱。适量的絮凝剂能够通过吸附电中和作用降低污泥体系内部的排斥力,通过吸附架桥作用增大污泥的粒径,而过量的絮凝剂投加将会对污泥体系产生相反的效果。另外,相对大分子质量的糖和蛋白质在絮凝剂的作用下与污泥絮体结合,胞外聚合物(EPS)的比污泥质量浓度有所增高。同时,铁盐水解释放H+,可降低溶液中的pH,促使微生物产生EPS以适应不利的环境。EPS产量增多将会加速膜污染的速率。
鉴于复合铁酶促活性污泥技术可强化活性污泥系统脱氮除磷的去除能力,充分发挥微生物体内复合形式铁元素在胞内生化反应中酶促反应的激活剂作用,增强生物活性和代谢能力,提高活性污泥脱氮除磷效率和抵抗如低温等外界环境因素变化能力,复合铁酶促活性污泥含铁量达到5%时,其系统处理能力、微生物代谢活性与能力、脱氮除磷性能达到最高。因此,拟定将复合铁酶促活性污泥强化脱氮除磷工艺与AAO+MBR工艺耦合运行,采用复合铁酶促活性污泥强化脱氮除磷工艺培养驯化活性污泥,以实现强化系统处理性能,同时降低铁盐投加量、降低Fe3+对膜组件的污染,也可以在一定程度上降低外碳源的投加量。
(3)经计算分析,现有MBR系统硝化和反硝化能力可基本达到新标准要求,本着低碳建设原则,优先通过运行技术措施达到提升目标,不再新增深度处理单元。运行根据实际进水水质,确定外碳源、铁盐等药剂投加量,以达到降低运行成本的目的。
3 处理效果余运行参数分析研究
3.1 处理效果分析研究
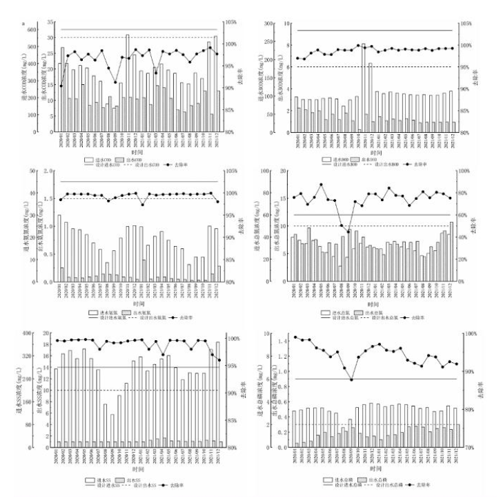
项目改造完成后系统恢复正常,处理水量基本稳定为5 500~6 000 m3/d,自2020年1月1日—2021年12月1日,每日进出水日检常规控制指标如图2所示,进出水水质特征值如表3所示。

图2 进出水水质指标去除效果
经过分析研究,表3中出水最大值一般出现在调试运行的初始阶段和超滤膜污染堵塞累积还未恢复性清洗阶段。
(1)实际进水水质比原设计值相比,除SS外,其他指标均有较大幅度的降低,说明污水再生处理系统负荷降低。
(2)在两个年度雨季期进水的各项指标出现大幅降低,表明上游污水管网系统存在雨水或地下水混入,而且经过管网的逐步改造,2021年进水水质较2020年明显提升。
(3)在2个年度的11月各项进水指标大幅度提高,造成此问题的原因是MBR池膜污染加重,膜通量降低,MBR池混合液溢流至进水前端,造成进水各项指标大幅度升高,通过对超滤膜离线恢复性清洗,使膜通量恢复正常,系统正常运行。
(4)通过工程改造和运行模式优化调整,该污水再生处理系统出水除TN外,达到《地表水环境质量标准》(GB 3838—2002)Ⅳ类标准,其中SS、氨氮、TN、TP除个别时段外明显优于出水标准值。
3.2 运行参数分析研究
(1)水解酸化效果。通过跟踪监测分析水解酸化调节池的进出水水质,其CODCr的去除效果达到15%~30%,溶解性CODCr(SCODCr)由32~76 mg/L提高到58~98 mg/L,平均提高率为63.5%。这部分SCODCr中85%的成分可以转化为挥发性脂肪酸(VFA),可以有效促进反硝化菌的生理代谢活性及数量,减少外加碳源的投加量,表明水解酸化内碳源开发效果良好,水解酸化原位开发内碳源工艺作为脱氮除磷生化系统预处理有显著效果。
(2)复合铁酶促活性污泥技术耦合AAO+MBR工艺效果。MBR工艺本身具有处理效果好、出水水质好等特点,同时将复合铁酶促活性污泥系统工艺与AAO+MBR工艺耦合,培养驯化复合铁酶促活性污泥强化脱氮除磷技术系统,运行减少FeCl3投加量,平均控制在10 mg/L,生化池污泥质量浓度控制在6 g/L,冬季污泥质量浓度增至8 g/L,实际容积负荷为0.21 kg BOD5/(m3·d),污泥有机负荷为0.04 kg BOD5/(kg MLSS·d),污泥TN负荷为0.01 kg TN/(kg MLSS·d),包括冬季低温(水温为10~12 ℃)在内脱氮除磷效果良好。复合铁酶促活性污泥强化脱氮除磷工艺系统除可节省铁盐投加量之外,在一定程度上也节省外碳源的投加量。
(3)铁盐投加量。Fe/P摩尔比为1.6时,TP去除率为90%(溶解性磷酸盐去除率≥96%),本项目按照进水90%保证率TP=4.1 mg/L,出水TP≤0.3 mg/L要求,计算铁盐的投加量为32 mg/L;工程实际运行的铁盐投加量平均为10 mg/L,对比分析铁盐投加量平均节省69%,TP去除率≥95%。同类型工艺污水处理厂铁盐平均约20 mg/L,本工程与其相比低了约50%。
(4)碳源投加量。相对原设计进水B/C(0.467),实际进水B/C为0.315、90%保证率B/C为0.250,实际进水的可生化性明显偏低。进水B/TN由原设计值(4.667)降低到实际平均的3.613、90%保证率的2.927,脱氮所需的有效碳源明显不足。另外,系统缺氧段的HRT为4.0 h,脱氮时间不足。结合经验值脱氮达到TN≤10 mg/L所需的B/TN按照5.0:1~6.0:1(按照5.5:1)计算,进水按照90%保证率TN质量浓度为41 mg/L,计算需要投加碳源量为94 mg/L。按照实际运行出水平均TN≤7 mg/L,计算需要投加碳源量为121 mg/L;实际运行的碳源平均投加量为54 mg/L,对比分析节省外加碳源42.5%~55.4%。同类型工艺污水处理厂乙酸钠平均投加量约为40 mg/L,其出水TN平均质量浓度按12 mg/L控制,由于出水水质控制标准不一样存在差异。
(5)膜污染堵塞。按照既定方案对粗细格栅进行改造后,精细格栅的栅渣量明显减少,未出现栅渣大量穿透进MBR池污染堵塞超滤膜的现象,且铁盐投加量和动植物油脂均减少,超滤膜污染堵塞大幅度降低,采用正常的清洗方式和频率即可正常运行。膜组件按照每天在线水气冲洗一次(10 min)、每周在线维护性清洗一次(2 h)、每年离线恢复性清洗一次频率清洗,经对比选用2%草酸进行恢复性清洗,对膜丝铁锈的去除及膜通量恢复效果最为明显。
(6)电耗。本工程提标改造没有增设工艺单体和设备,原有设备改造后继续保持正常运行。由于进水水质浓度相对原设计值有一定幅度的降低,主要能耗为生化池鼓风机,仍按照单台交替运行,当风量开至设计值的80%~90%时,即可满足生化处理需求。MBR池吹扫鼓风机按照设计要求2用1备正常运行,风量为31 m3/min,全厂电耗平均约为1.04 kW∙h/m3。因此,整个系统与提标之前比较没有增加能耗,相对常规提标改造降低了电耗。
4 总结与探讨
本工程在提标改造和运行过程中,不增加占地、工艺单元、电耗的情况下,通过工程改造和运行模式优化调整,较大幅度节省外加碳源、铁盐等药耗的投加,污水再生处理系统出水稳定达到《地表水环境质量标准》(GB 3838—2002)类Ⅳ类标准,有效地实现降碳的目的。
(1)MBR工艺的预处理尽量规避使用粉碎式格栅,如果使用,须强化预处理粗细格栅单元对SS的去除效果,避免大量悬浮物穿透精细格栅对后续超滤膜造成污堵,控制源头动植物油脂进入并降低铁盐过量投加,以降低膜污堵风险。
(2)水解酸化原位开发内碳源工艺作为脱氮除磷生化系统预处理,SCODCr平均有效提高63.5%,节省脱氮除磷而需要的外碳源投加量为42.5%~55.4%,有效实现降碳的目的。
(3)复合铁酶促活性污泥技术耦合AAO+MBR工艺运行,有效地强化了系统脱氮除磷效果,并节省铁盐投加量60%以上,也在一定程度上节省外碳源的投加量,有效地实现降碳的目的。
(4)本工程没有新增设工艺单体和设备,原有设备正常运行,在不增加电耗的情况下成功实现提标改造。
(5)本工程的水解酸化受现状调节池改造限制,水解酸化原位开发内碳源工艺作为脱氮除磷生化系统预处理,其停留时间、污泥回流量、污泥浓度等设计运行参数,以及水解酸化运行效果好而不产生CH4等温室气体的控制措施,还需要进一步研究探索。
(6)本文在降低药耗、能耗等方面做了一些研究探索,在污水再生处理工艺的系统降碳及定量计算方面还有待进一步探讨研究。
来源:净水技术